
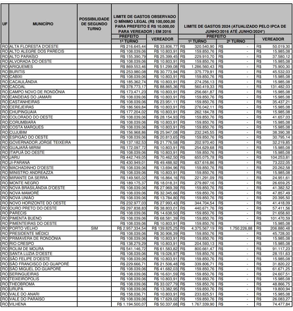
Confira a lista com o teto máximo de todas as cidades de Rondônia incluindo postulantes a vereadores e prefeitos
Porto Velho, RO – O Tribunal Superior Eleitoral (TSE) divulgou na última quinta-feira, 18, o limite de gastos para as campanhas de prefeito e vereador em cada um dos 5.569 municípios do País. As quantias estabelecidas pela Corte Eleitoral deverão ser seguidas pelos partidos e coligações durante as eleições de outubro.
Em Porto Velho, os partidos poderão gastar até R$ 4.375.567,19 na campanha de prefeito em primeiro turno. Em eventual segundo turno, a quantia permitida é de R$ 1.750.226,88. A candidatura de vereador, por sua vez, poderá receber até R$ 206.880,48.
Em Alta Floresta D'Oeste, o limite para a campanha de prefeito é de R$ 320.540,90, enquanto para vereador é de R$ 50.019,30. Em Ariquemes, os valores são de R$ 1.286.560,43 para prefeito e R$ 75.900,30 para vereador. Cacoal tem um limite de R$ 560.419,33 para prefeito e R$ 131.482,03 para vereador.
Em Ji-Paraná, os candidatos a prefeito podem gastar até R$ 809.447,29 e os de vereador até R$ 83.018,91. Em Vilhena, o teto é de R$ 1.767.330,90 para prefeito e R$ 74.477,84 para vereador.
Outros municípios, como Guajará-Mirim e Jaru, também tiveram os limites definidos. Em Guajará-Mirim, os candidatos a prefeito podem gastar até R$ 520.470,60, enquanto os de vereador têm um teto de R$ 47.982,52. Em Jaru, os valores são de R$ 265.026,79 para prefeito e R$ 34.462,50 para vereador.
Os limites variam significativamente conforme o tamanho do município e o número de eleitores, sendo essenciais para garantir a igualdade de condições entre os candidatos nas eleições municipais de 2024.
CONFIRA:

Fonte: Por Rondoniadinamica


0 Comentários